General Information and Hints
Welcome to our Kingdom's Heyday Walkthrough, where you'll find everything you need to know to beat this challenging time management game. Here you'll discover vital information about each building and upgrade as well step-by-step instructions with screenshots for every level, so you can see exactly how to obtain 3 stars and meet all the achievements.

How to Play
At the start of each level, you are presented with a set of goals and an usually unenviable starting situation. You need to decide which buildings to erect, repair, upgrade, sell, or demolish as you go along.
Top bar:
- Luxury points
- Population
- Food production
- Number of workers available to work and total number of workers
- Gold balance and income
- Time
- Hire workers for $1000 each with the button under the worker total
Side bar:
- Goals for the level and progress to the goal.
- An achieved goal will have a green check mark and you can hover over the goal to see what it was originally.
- When a goal is for construction, note whether you have to construct it (crane icon) or own it (key icon).
- If the goal is for construction, you can either sell the building or destroy it once completed.
Bottom bar:
- Large round crane button will show and hide the construction bar
- You have 4 types of construction to choose from and selecting one will show the buildings bar for that type.
- If you do not have the resources to build, it will be grayed out and have red numbers.
- Note the dots in the upper left corner; this shows how much space a building will take.
- Hovering over the building type will show you the population, income, luxury, and food values.
Main area:
- Hovering over a building will show you current values for the building and the number of luxury and/or food upgrades.
- Clicking on the building will show up to 4 buttons (which are grayed out if you do not have the resources).
- From left to right (as available) there is luxury upgrade, food upgrade, sell, and demolish.
- Hovering over each individual button will show the cost.
- In addition, if the building is repairable you will find the repair button.
- If a building is yours and operable, destroying will return you half the initial cost of the building (not including upgrades).
- If the building is abandoned or rubble, you will have to pay to clear the damage.
HINTS:
- The best way to make money at the beginning of a level is to upgrade your housing buildings and sell them. Every dollar spent in building will return 2 dollars upon sale.
- Combinations of bakeries and merchant's shop are needed to get those income amounts up.
- Don't forget to place luxury constructions touching housing to increase rents. This doesn't work for commercial or food buildings.
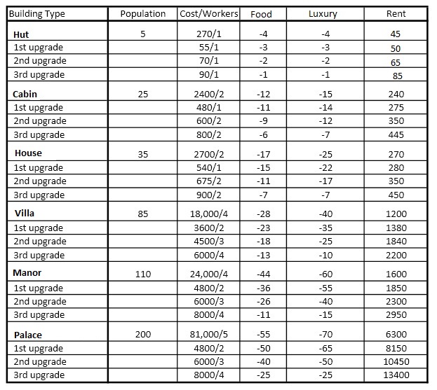
Population: Each type of building has a certain population. There is no way to upgrade this amount. However, if you each bakery or inn next to a residential building will increase the population. (Hut +1, Cabin +6, House, +9, Villa +21, Manor +29, Palace +50)
Making money:
- Rents from housing. Each building has a standard rent that can be increased by upgrading the luxury.
- Sales of buildings: Each building can be sold for twice the cost you put into it. This is a great way to make money as you double your investment. When a building is sold, you still get credit for the population, amount of luxury, and amount of food used at the time of sale.
- Increasing rents with luxury construction: Each gazebo, park, or promenade that touches a housing building will increase the rent. When full upgraded, each unit will increase the rent between 21% to 25%. For rent increasing, you would want to put as many gazebos around a building as you can manage.
- Demolishing owned buildings will return half of initial cost of construction.

Commercial buildings:
- Population based: Taverns and merchant's shops will pay a certain amount for your population, even if you do not currently own the housing. However, each person will only be counted in one of these buildings so you don't want to have higher capacity in the tavern or shop than you do population. For example, you have under 100 population--it would not help to have any more than 1 merchant's shop.
- Income based: Bakeries and inns will pay a certain percentage of your income back to you. See the charts for how much.
- Luxury based: Forges will pay based on the total number of luxury points.
- Interest based: Mints will pay very generous interest based on your total gold balance (and it compounds).

Luxury:
- Luxury points work in several ways.
- Sometimes you will have a goal for a total amount and you need to build and upgrade until you get to that goal. Buildings take away luxury so you need to upgrade to reduce the damage (and get higher income).
- Luxury construction touching housing will increase the rent.
- Damaged buildings and trash will reduce the total luxury value.
- Luxury constructions include gazebos (vertical and horizontal), flower parks, and fountain production. All this do is boost the number of points. They do not require food to run.
- Circuses and fairgrounds use food and they boost the total luxury by a certain percentage based on which building and how upgraded it is.

Food production:
- Each building requires food to run.
- At the beginning of the level, you will miraculously have a certain amount you can use but beyond that you need to either upgrade your buildings' food production or build the different food production buildings.

And that's pretty much all you need to know to start playing Kingdom's Heyday! We hope you enjoy our Kingdom's Heyday Walkthrough.

Comments will load when you reach this part of the walkthrough.